為了對顏色進行定量的描述,色度學規定了多種用于顏色量化的顏色空間,由于一些顏色空間在描述顏色時,與人眼之間的一致性相差較大,因此色度學就規定了用于顏色量化的均勻顏色空間。那么,色差儀色差度量常用的均勻顏色空間有哪些?本文對色差儀均勻顏色空間做了介紹。

色差儀均勻顏色空間的類型:
均勻顏色空間是指存在一個顏色表示系統,其表示的顏色符合人眼的視覺特性,并且采用一個量來表示人的色彩感覺差別,一般用空間距離或者數字表示。該量度值須符合人的感覺,當量度值較小時,目視感覺到的色彩差別就較小;當量度值較大時,目視感覺就大。
CIE建議使用CIE1976L*u*v*和CIE1976L*a*b*兩個均勻顏色空間,其中廣泛使用的CIE1976L*a*b*均勻色空間是由三個通道組成:L*通道表示明度,其取值范圍是0~100,數值越大顏色的明度值越大;a*通道和b*通道是兩個色度通道,其中a*通道表示顏色的紅綠反應,b*通道表示顏色的黃藍反應,a*和b*的取值范圍為-128~127。對于a*來講,數值越大顏色越紅,數值越小顏色越綠;對于b*值來說,b*值越大顏色越發黃,否則越偏藍。
色差儀均勻顏色空間CIE1976L*u*v*:
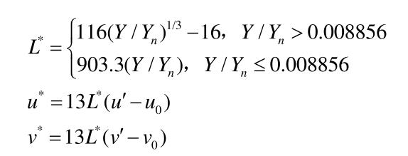
CIE1976L*u*v*顏色空間又稱為CIELUV顏色空間,它是使用L*、u*、v*作為三維直角坐標的顏色空間,在CIE1976L*u*v*顏色空間中,L*表示明度,u*、v表示顏色的色品坐標,其計算公式如下:

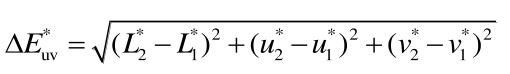
式中,u'、v'和u'0、v'0分別為顏色樣品和光源的色品坐標,X、Y、Z是顏色樣品的三刺激值;Yn=100。用L*、u*、v*標定的兩個顏色之間的總色差△E由下式計算:

色差儀均勻顏色空間CIE1976L*a*b*:
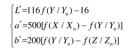
CIE1976L*a*b*顏色空間也稱為CIELAB顏色空間。作為該空間三維直角坐標系的明度L*和色品坐標a*、b*的計算公式為:

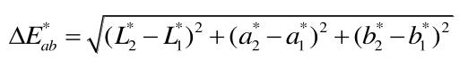
其中,X、Y、Z是顏色樣品的三刺激值;Xm、Yn、Zn是照明光源顏色的三刺激值,且Yn=100。用L*、a*、b*標定的兩個顏色之間的總色差△E由下式計算:

鄭重聲明:本文版權歸原作者所有,轉載文章僅為傳播更多信息之目的,如作者信息標記有誤,請第一時間聯系我們修改或刪除,多謝。



