卷煙商標的質量直接決定了卷煙最終消費者對卷煙產品的第一印象,在一定程度上影響著消費者對卷煙產品的選擇,卷煙消費者對卷煙產品的青睞要求卷煙內在品質及商標質量均保持一致,評價卷煙商標印刷質量的一致性,就可以才用分光測色儀。本文介紹了分光測色儀在卷煙商標顏色差異檢測中的應用。

卷煙商標顏色檢測方法:
卷煙商標的質量直接決定了卷煙最終消費者對卷煙產品的第一印象,在一定程度上影響著消費者對卷煙產品的選擇,卷煙消費者對卷煙產品的青睞要求卷煙內在品質及商標質量均保持一致,評價卷煙商標印刷質量的一致性,通常采用主觀目測法或色差儀法將印刷產品與標準樣進行對比。
對于人類肉眼能夠感知的可見光范圍內(360~750nm)的反射光譜的色差,色差儀在一定誤差范圍內具有較準確,快速的識別及評價能力。對于反射光譜極為接近,但所用原料不一致的油墨;像素高,顏色轉化快,超出了色差儀容差公式的計算范圍的油墨;存在不同程度的鏡面反射類似鐳射紙之類的油墨,將無法予以區分。近年來采用的密度檢測法、色度檢測法和基于數字圖像處理技術等方法,克服了主觀因素影響,但這些方法計算復雜,匹配度、精確度不高,在檢測過程中還具一定的局限性,難以實現批量、快速檢測的工業生產需求。為此,探索一種在線、快速、準確、可靠的商標印刷色差檢測新方法已成為卷煙企業亟待解決的問題。而使用分光測色儀對卷煙商標紙色差進行分析,可以有效的解決以上問題,為卷煙包裝材料的質量控制提供理論依據。
分光測色儀檢測卷煙商標的顏色差異:
分光測色儀是顏色測量中最基本的儀器,利用分光原理測出物體的光譜分布或物體反射光的光譜功率,根據這些光譜測量數據通過計算的方法求得物體在各種標準光源和標準照明體下的三刺激值,進而由此計算出各種顏色參數。由于它通過探測樣品的光譜成分確定其顏色參數,所以精度非常高,可以區分同色異譜現象。
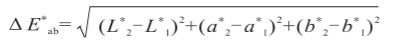
使用分光測色儀檢測卷煙商標的顏色差異時,參照GB/T12655-2007的相關規定將所有準備好的商標紙裁剪為大小合適的長條形狀(22.5cm×15cm),在每張商標紙或者鐳射紙上目測選擇5~6個具有代表性,且色彩較為均勻的色塊(點)。操作分光測色儀來采集不同色塊(點)的CIELAB數據,每次采集數據時均要求商標紙對準光孔的中心部位。采集完畢,通過儀器自帶的軟件計算不同樣品之間的△E*ab。值,所采用的標準光源為D65/A,色差公式為:CMC(1.4:1.0:1.0)。CIELAB是Adams色彩值(Chromatic Value)空間。在L*a*b*中任何兩個顏色的相對感知差別,可以用這兩個顏色在L*a*b*空間的歐幾里得距離△E*ab表示。

用戶只需分析分光測色儀測量的L*a*b*和△E*ab等數據,就可以對卷煙商標的顏色差異進行分析,進而管控卷煙商標的顏色品質。
將分光測色儀引入卷煙商標的色差分析,就是將原本抽象的色彩信息數字化,顏色的數字化是指用色度值數據(L*a*b、XYZ)對顏色進行標識,是顏色遠程傳遞的前提。顏色的智能化是指利用電子信息技術進行顏色識別、測色配色和顏色數據傳遞,使顏色溝通更加便捷、精準。可見,顏色的數字化智能化應用,打破了傳統的交互方式,使快速反應成為可能,適應當今全球卷煙商標工業化生產的需求。
鄭重聲明:本文版權歸原作者所有,轉載文章僅為傳播更多信息之目的,如作者信息標記有誤,請第一時間聯系我們修改或刪除,多謝。



