△E*94色差公式是CIE94色差公式的簡稱,是色差儀中常用的一個色差公式,該色差公式是基于CIELab顏色空間建立的一個色差公式,引入了色差的視覺量化值,在計算色差值時可以很好的保持與人眼之間的一致性。本文對△E*94色差公式及應用做了介紹。

△E*94色差公式的提出:
1989年,CIE成立了技術委員會TC1-29(工業色差評估),主要任務是考察目前在工業中使用的在日光照明下進行物體色色差評價的標準。最終的提案在1995年作為CIE的技術報告被公布出來。該報告詳細說明了為了新的色差公式在色差方面以前所做的工作。新公式的完整的名稱是“CIE1994(△L*、△C*ab、△H*ab)色差模型”,縮寫為“CIE94”,或色差符號△E*94。
CIE在推薦CIE94色差公式時,確立了一組適用于該公式的參照條件:
照明:CIE 標準照明體D65
照度:1000lux
背景:均勻的中性色,L*=50
觀察模式:物體色
樣品尺寸:視場大于4°
樣品放置:直接邊緣接觸
樣品色差幅度:0-5 CIELab色差單位
觀察者:視覺正常
樣品結構:在顏色上是均勻的
如此嚴格的參照條件說明,為了獲得通用的色差描述模型還有待于進一步的深入研究,另外上述條件中規定樣品尺寸大于4°視角,所以在色差計算時推薦采用C1E1964補充標準色度觀察者。
當實際的觀察條件和應用場合不同于CIE94參照條件時,需要由參數因子kL、kC、kH來調整明度、飽和度和色調分色差在總色差中的相對權重。這些因子的定義應根據相關具體實驗觀測條件和要求來進行分析、確定,通常對于除紡織業以外的一般應用,推薦采用kL=kC=kH=1;對于紡織工業,則建議采用kL=2,kC=kH=1。
△E*94色差公計算色差方法:
CIE94公式包含一個新的項(△V),即色差的視覺量化值:

KE并不是作為商業色差測量來用,而是一個總的視覺因數(視覺靈敏度系數),在工業評定的條件下,設為1個單位,即△V =△E*94。
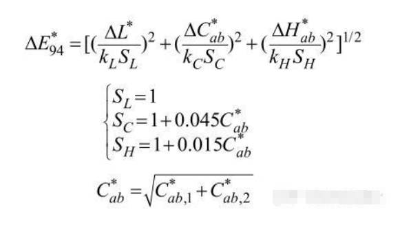
CIE94公式如下所示:

變量KL、KC和KH稱為參數因子,通過它們可以改變相對半軸的長度,進而改變△L*、△C*ab、△H*ab的相對容忍度。在參考條件下,KL=KC=KH=1,使用條件和參考條件發生偏差時,會導致在視覺上每一個分量(亮度、彩度、色相)的改變,因而可以單獨地調整色差公式中的各個色差分量以適應這種改變。例如,評價紡織品時,亮度感覺的降低,推薦使用KL=2,KC=KH =1,這時CIE94公式的計算結果和紡織品的視覺評價就比較接近。
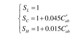
就像在CMC(l:c)公式中所做的一樣,在CIE94中稱為“權重函數”的橢圓半軸(SL、SC和SH)的長度允許在CIHLAB顏色空間中根據區域的不同進行各自的調整,其定義如下:

當一對顏色中的標準色和樣本色明顯不同時,則C*ab,1=C*ab.2。這種經過優化的方程的不對稱性,導致了一對樣本色之間的色差的不一致性,即顏色樣本A和B,以A為標準和以B為標準計算的結果就不一樣。在邏輯上如果沒有樣本作為標準色時,Cab可以用2個顏色的CIELAB的彩度的幾何平均值表示,如下式:

△E*94色差公式的應用:
CIE94色差公式實際上就是CMC(1:c)的一個修正版,它的優點在于:探討了色差距離的均勻性和參量對知覺色差的影響,應用加權函數校正CIELAB空間的均勻性,與此同時定義一組基本條件,在基本條件下應用時無需對參量效應校正。推薦草案改進CIELAB空間的均勻性獲得了預期的成功,而且該色差公式加權函數比△FMC-2和△ECMC色差公式簡單得多。因此,CIE94色差公式在紡織工業中已經得到了廣泛地應用。
在印刷包裝行業中,科研工作者和生產質檢人員已經意識到了CIE1976LAB色差公式的缺點,開始有意識地選用CIE94色差公式。一些生產檢測設備的生產廠商也順應潮流,在其生產的設備中開始集成CIE94色差公式,目前支持CIE94的儀器有很多,如:X-Rite530光譜密度儀、X-RiteSP60便攜式球形分光光度儀、三恩時TS7036分光色差儀、三恩時NH310+便攜式色差儀等。
鄭重聲明:本文版權歸原作者所有,轉載文章僅為傳播更多信息之目的,如作者信息標記有誤,請第一時間聯系我們修改或刪除,多謝。



